Int J Biol Sci 2022; 18(16):6229-6230. doi:10.7150/ijbs.79598 This issue Cite

Erratum

IRF7 inhibits the Warburg effect via transcriptional suppression of PKM2 in osteosarcoma: Erratum

Zhikun Li1*, Mei Geng2*, Xiaojian Ye1*, Yunhan Ji1, Yifan Li1, Xiangyang Zhang1, Wei Xu1 Corresponding address

1. Department of Orthopedics, Tongren Hospital, School of Medicine, Shanghai Jiao Tong University, Shanghai 200336, China.
2. Department of Oncology, Rui Jin Hospital Affiliated to Shanghai Jiao Tong University School of Medicine, Shanghai 200025, China.
*These authors contributed equally to this work.

Published 2022-11-10

Citation:
Li Z, Geng M, Ye X, Ji Y, Li Y, Zhang X, Xu W. IRF7 inhibits the Warburg effect via transcriptional suppression of PKM2 in osteosarcoma: Erratum. Int J Biol Sci 2022; 18(16):6229-6230. doi:10.7150/ijbs.79598. https://www.ijbs.com/v18p6229.htm
Other styles

File import instruction

Corrected-article in Int J Biol Sci, Volume 18, 30

 

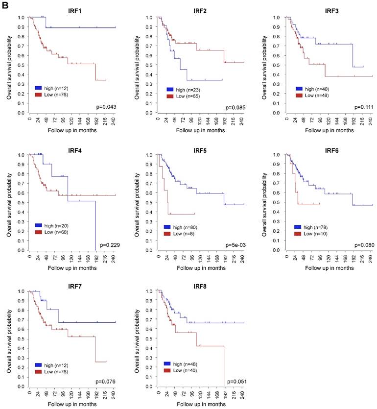
After the publication of our article, we noted one error in Fig. 1B. The Kaplan-Meier survival curve is about neuroblastoma instead of osteosarcoma. After careful examination, we confirmed that this error was caused by carelessness when we used the R2 database (https://hgserver1.amc.nl/cgi-bin/r2/main.cgi). The corrected Fig.1B is shown as follows.

 Figure 1 

B. Corrected figure.

Int J Biol Sci Image

Additionally, the description of Fig. 1B was changed, as shown follows: “A cohort (GSE42352) of 88 patients with survival data was used for analysis. By Kaplan-Meier curve analysis, we revealed that several IRF family members had an association with OS patients' prognosis (Fig. 1B). Interestingly, higher IRF7 expression was inclined to predict a better prognosis in OS patients.”

The authors confirm that the mistake does not affect the conclusions of the study and apologize for any inconvenience caused by this mistake.

Author contact

Corresponding address Corresponding author: Dr. Wei Xu, Tongren Hospital, School of Medicine, Shanghai Jiao Tong University, 1111 XianXia Road, Shanghai 200336, China. E-mail: weixuedu.cn.


Citation styles

APA
Li, Z., Geng, M., Ye, X., Ji, Y., Li, Y., Zhang, X., Xu, W. (2022). IRF7 inhibits the Warburg effect via transcriptional suppression of PKM2 in osteosarcoma: Erratum. International Journal of Biological Sciences, 18(16), 6229-6230. https://doi.org/10.7150/ijbs.79598.

ACS
Li, Z.; Geng, M.; Ye, X.; Ji, Y.; Li, Y.; Zhang, X.; Xu, W. IRF7 inhibits the Warburg effect via transcriptional suppression of PKM2 in osteosarcoma: Erratum. Int. J. Biol. Sci. 2022, 18 (16), 6229-6230. DOI: 10.7150/ijbs.79598.

NLM
Li Z, Geng M, Ye X, Ji Y, Li Y, Zhang X, Xu W. IRF7 inhibits the Warburg effect via transcriptional suppression of PKM2 in osteosarcoma: Erratum. Int J Biol Sci 2022; 18(16):6229-6230. doi:10.7150/ijbs.79598. https://www.ijbs.com/v18p6229.htm

CSE
Li Z, Geng M, Ye X, Ji Y, Li Y, Zhang X, Xu W. 2022. IRF7 inhibits the Warburg effect via transcriptional suppression of PKM2 in osteosarcoma: Erratum. Int J Biol Sci. 18(16):6229-6230.

This is an open access article distributed under the terms of the Creative Commons Attribution License (https://creativecommons.org/licenses/by/4.0/). See http://ivyspring.com/terms for full terms and conditions.
Popup Image